티스토리 뷰
문제 및 채점: oj.uz
$N$ 개의 정점으로 이루어진 트리가 주어진다. 각 정점에 $0$ 이상 $K$ 이하의 수를 서로 다르게 적는다. 수 $i$가 적힌 정점을 정점 $i$라고 하자. 정점 $s$에 인접한 정점에 적힌 수들이 배열 $c$로 주어질 때, 정점 $s$에서 정점 $t$로 가기 위해 어느 인접한 정점으로 이동하면 되는지 구하는 질문이 주어진다. 문제는 정점에 수를 적는 함수와, 주어지는 질문을 해결하는 함수 두 개를 작성하는 것이다. 단, 정점에 적는 수 이외에 전역 변수와 같이 외부 메모리를 참조하여 질문을 해결할 수 없다.
서브태스크 1, 2, 3, 4
이 서브태스크에 대한 풀이는 따로 서술하지 않겠다. 서브태스크 1, 2, 3은 주어지는 트리의 모양이 일자, 완전 이진 트리 등 정해진 모양을 가지며, 그 모양에 따라 수를 적절히 적어주어 주어지는 질문을 해결할 수 있다.
서브태스크 5
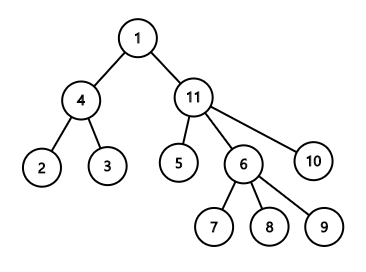
임의의 정점을 루트로 정해 루트가 있는 트리로 만든다. 루트부터 시작하여 dfs 순서로 정점을 탐색하며 1부터 $N$까지의 수를 적는데 정점 깊이의 홀짝성에 따라 수를 preorder, postorder로 적는다.

위 그림은 트리에서 언급한 방식으로 정점에 수를 적은 예시이다. 정점 11에서 시작하여, 10 이상 11 미만의 번호가 적힌 정점으로 가기 위해서는 정점 10으로 가야 하고, 6 이상 10 미만의 번호가 적힌 정점으로 가기 위해서는 정점 6으로 가야 하고, 5 이상 6 미만의 번호가 적힌 정점으로 가기 위해서는 정점 5로 가야 하고, 1이상 5 미만의 번호가 적힌 정점으로 가기 위해서는 정점 1로 가야 한다. 정점 1에서 시작하여, 1 초과 4 이하의 번호가 적힌 정점으로 가기 위해서는 정점 4로 가야 하고, 4 초과 11 미만의 번호가 적힌 정점으로 가기 위해서는 정점 11로 가야 한다. 이와 같이 정점에 번호를 적을 경우, 가려고 하는 정점에 적힌 번호와 인접한 정점에 적힌 번호를 기반으로 간단하게 주어지는 질문을 해결할 수 있다.
'IOI > IOI2020' 카테고리의 다른 글
| IOI2020 Day2 mushrooms 풀이 (0) | 2020.09.24 |
|---|---|
| IOI2020 Day2 biscuits 풀이 (0) | 2020.09.23 |
| IOI2020 Day1 plants 풀이 (0) | 2020.09.22 |
| IOI2020 Day1 tickets 풀이 (0) | 2020.09.22 |
| IOI2020 Day1 supertrees 풀이 (0) | 2020.09.22 |
- Total
- Today
- Yesterday
- Divide & Conquer
- HackerRank
- USACO
- BOI 2009
- Parametric Search
- Tree
- Knuth Optimization
- BOI 2001
- IOI2014
- Dijkstra
- Boyer
- vote
- majority
- TRIE
- Algorithm
- moore
- IOI2012
- BOI
- dynamic programming
- ioi
- Boyer-Moore Majority Vote Algorithm
- z-trening
- Splay Tree
- optimization
- Segment tree
- Greedy Method
- Dynamic Pramming
- idea
- IOI2013
- IOI2011
| 일 | 월 | 화 | 수 | 목 | 금 | 토 |
|---|---|---|---|---|---|---|
| 1 | ||||||
| 2 | 3 | 4 | 5 | 6 | 7 | 8 |
| 9 | 10 | 11 | 12 | 13 | 14 | 15 |
| 16 | 17 | 18 | 19 | 20 | 21 | 22 |
| 23 | 24 | 25 | 26 | 27 | 28 | 29 |
| 30 |